عملکرد مونوتونیک و سیکلی کوپلرهای رزوهدار آرماتور (بخش سوم)
این مقاله قسمت سوم و نهایی از مقاله عملکرد مونوتونیک و سیکلی کوپلرهای آرماتور است که پیش از این دو قسمت از آن خدمتتان تقدیم گردید. به جهت طولانی بودن مقاله این مقاله در سه قسمت منتشر شد و در این مقاله آخرین بخش از این مقاله را مشاهده می کنید.
4. ارزیابیهای مقایسهای
این بخش به بررسی پاسخ کرنش-بار الاستیک و غیر الاستیک پیکربندی های مورد مطالعه، و همچنین ویژگیهای ترک خوردگی در اعضای بتنی میپردازد. ارزیابیهای مقایسهای با تمرکز بر مراحل اصلی رفتاری، بهویژه رژیمهای پس از ترکخوردگی و پس از تسلیم، انجام میشود. مراحل پیش از تسلیم فولاد برای الزامات سرویسدهی و دوام، و همچنین برای اهداف انتقال نیرو اهمیت ویژهای دارند، در حالی که مراحل پس از تسلیم برای ارزیابی شکلپذیری حائز اهمیت هستند.
4.1. ویژگیهای ترکخوردگی
الگوهای ترک و عرض آنها عمدتاً به نسبت آرماتور بستگی دارند و خواص ماده بتنی تأثیر قابلتوجهی بر آن ندارند. در اعضای تحت کشش، ویژگیهای سطح میلگرد، قطر میلگرد و پوشش بتنی نیز بر رفتار ترکخوردگی تأثیر میگذارند. کوپلرها معمولاً قطر بزرگتری نسبت به میلگردهای متصل دارند و سطح آنها در مقایسه با سطح تغییر شکل یافته میلگردها، معمولاً صاف و ساده است. برای کوپلرهای نسبتاً بزرگ، نسبت آرماتور محلی در مقطع کوپلر (ρs,co) همراه با ویژگیهای پیوستگی آن (τb,co)، در مقایسه با نسبت آرماتور واقعی در مقطع میلگرد (ρs,b) و نوع سطح آن (τb)، مستقیماً بر فاصله ترکها و سینماتیک آنها تأثیر میگذارد.
مطالعهای مقایسهای درباره تأثیر عامل اندازه (λs = dcLc/(dbLb)) بر نسبت فاصله ترکها (λco) در زیر ارائه شده است که طیف وسیعی از پیکربندیهای کوپلر را در نظر میگیرد. جزئیات مربوطه از برگههای داده موجود استخراج شدهاند. هندسههای کوپلر و میلگرد برای ارزیابی ρs,b، ρs,co و نسبت فاصله ترکها (λco= sr0,b/sr0,co) استفاده شدهاند، که در آن sr0,b فاصله ترکها در ناحیه میلگرد و sr0,co فاصله ترکها در ناحیه کوپلر است. کوپلرها بهعنوان عناصر استوانهای فولادی با سطوح صاف و بدون لغزش در اتصالات به میلگردها ایدهآلسازی شدهاند.
برای اهداف مقایسهای، فاصله ترکها (sr0,i) مطابق با معادله (1) بهگونهای در نظر گرفته شده که برابر با حداقل فاصله انتقال از طریق پیوستگی باشد. برای ارزیابیهای ارائهشده در شکل 15، فرض شده که γb=2.5 برای ویژگیهای پیوستگی خوب است، همانطور که در دستورالعملهای موجود پیشنهاد شده است. در نتیجه، ظرفیت پیوستگی در کوپلر با سطح صاف (τb,co) برابر با 40 درصد یک عنصر تغییرشکلیافته است (معادله 2). با در نظر گرفتن این حدود برای ظرفیت پیوستگی در میلگردها و کوپلرها، مقادیر sr0,b و sr0,co از معادلات (3a,b) قابل محاسبه است، در حالی که نسبت λco از معادله (4) بهعنوان تابعی از اندازههای مقطع عضو، کوپلر و میلگرد بهدست میآید.
شکل 15 رابطه بین عامل اندازه (λs) و نسبت فاصله ترکها (λco) را نشان میدهد. مقادیر λs≤1.0 نشاندهنده کوپلرهای نسبتاً فشرده هستند، در حالی که λs>1.0 به کوپلرهای کشیدهتر اشاره دارند. از سوی دیگر، مقادیر λco≤1.0 نشاندهنده فاصله ترکهای باریکتر در ناحیه میلگرد در مقایسه با ناحیه کوپلر است، در حالی که λco>1.0 به هندسهها و ویژگیهای پیوستگی اشاره دارد که ترکهای عریضتری در ناحیه میلگرد نسبت به ناحیه کوپلر ایجاد میکنند. فاصله ترکهای باریکتر توزیع تنش یکنواختتری در طول عضو ایجاد میکند، در حالی که فاصله ترکهای عریضتر منجر به ایجاد ترکهای کمتری میشود که محل تمرکز کرنش را ایجاد کرده و توسعه پلاستیسیته را تسریع میکند. از آنجا که شکست در خارج از ناحیه کوپلر در عمل مطلوب است، ترکهای باریکتر باید در ناحیه میلگرد ایجاد شوند (λco≤1.0). همانطور که در شکل 15 مشاهده میشود، کوپلرهای فشرده با عامل اندازه λs≤1.0 تمایل به نمایش λco≤1.0 دارند و بنابراین توسعه فاصله ترکهای باریکتر در ناحیه میلگرد را ترویج میدهند. در مقابل، کوپلرهای کشیدهتر احتمالاً λco>1.0 دارند و تأثیر قابلتوجهتری بر پاسخ ترکخوردگی خواهند داشت.

شکل 15: رابطه بین λs و λco
شکل 16 یک مقایسه کیفی بین الگوهای آسیب (ترک) در اعضای تحت کشش را در زمان تسلیم میلگرد نشان میدهد. این مقایسه شامل سه نوع اتصال (UHC، SWC،GSC [[49,50,53) و مدلهای بدون اتصال مربوطه است که با استفاده از شبیهسازیهای عددی غیرخطی و روشهای شرحدادهشده در بخش 3.2.4 به دست آمدهاند. مشاهده میشود که برای میلگردهای 16 میلیمتری با UHC-16 (λS≈1.0)، الگوی ترکها مشابه عضو بدون اتصال (NON-16) است، در حالی که در SWC-16 (نیز با λS≈1.0)، ترکها خارج از ناحیه کوپلر ایجاد میشوند. این نشان میدهد که در این محدوده λS، کوپلرها تأثیر قابلتوجهی بر پاسخ ترکخوردگی ندارند، همانطور که در آزمایشهای قبلی نیز مشاهده شده است. برای GSC-16 با λS > 2.0، ترکها در ناحیه کوپلر ظاهر میشوند. در مورد هندسههای اغراقآمیز کوپلر نسبت به اندازه عضو (UHC-32، SWC-32، GSC-32) و نسبتهای آرماتور بسیار بالا که برای اهداف مقایسه تحلیل شدهاند، ترکها در همه موارد در ناحیه کوپلر ایجاد میشوند. این مشاهدات، همراه با الگوی آسیب GSC-16، رفتاری مشابه نتایج نشاندادهشده در شکل 15 از نظر تأثیر هندسه کوپلر بر فاصله ترکها را پیشنهاد میدهند.

شکل 16: الگوهای ترک در میلگردهای 16 و 32 میلی متر برای نمونه های بدون اتصال، GSC, SWC, UHC
4.2. پاسخ بار-کرنش
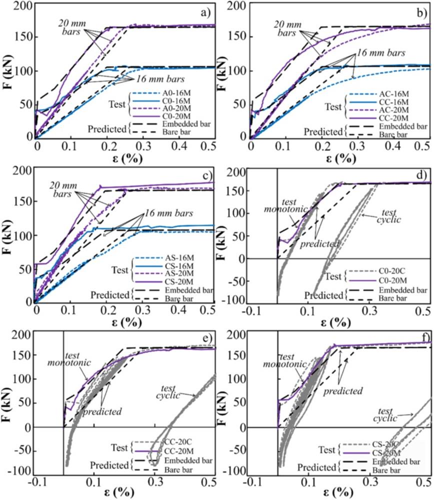
در مرحله ترکخوردگی پایدار، سختی عضو بتنی مسلح (RC) بین سختی المان الاستیک و المان کاملاً ترکخورده قرار دارد. این اثر سفتکنندگی کششی بهصورت تحلیلی بهعنوان کاهش میانگین تنش فولاد نسبت به میلگرد خالی بیان میشود. پس از شروع ترکخوردگی، سفتکنندگی کششی بهتدریج کاهش مییابد تا زمانی که کرنشهای فولاد در مقاطع ترکخورده متمرکز شوند و در زمان تسلیم کاملاً از بین برود، جایی که پاسخ تنها توسط میلگرد کنترل میشود. یک ارزیابی مقایسهای دقیق از نظر سختی و ظرفیت بین منحنیهای تجربی و پیشبینیشده در شکل 17 نشان داده شده است.
طول سنج 590 میلیمتری برای اعضای بتنی در نظر گرفته شد تا کرنش (ε) ارزیابی شود، در حالی که طول سنج Lc+4db برای نمونههای خارج از بتن در نظر گرفته شد. منحنیهای پیشبینیشده F-ε با استفاده از معادلات (5) تا (8) و با در نظر گرفتن مقاومت مواد آزمایششده، راهنمای یوروکد 2، و ضرایب βt=0.7، σsr=1.3، ρl=1.78%, Es=200,000 و Esh=800 مگاپاسکال [45,46,61] به دست آمدهاند.

همانطور که در شکلهای 17a تا 17c نشان داده شده، منحنیهای پیشبینیشده از نظر سختی و بار تسلیم با نتایج آزمایشهای مونوتونیک برای همه موارد همخوانی خوبی دارند. با این حال، برای اعضای مجهز به کوپلرهای آپست، پاسخی کمی متفاوت مشاهده میشود، زیرا ماده فولادی در میلگردها دارای منحنی الاستوپلاستیک گرد در اطراف نقطه تسلیم بود که تأثیر مستقیمی بر پاسخ F-ε همتایان داخل بتن( CC-16M و CC-20M ) داشت. همچنین، مقایسه منحنیهای تجربی و پیشبینیشده نشان میدهد که هندسه کوپلر تا حدی بر سختی تأثیر دارد.
شکلهای 17d تا 17f نشان میدهند که منحنیهای F-ε آزمایشهای سیکلیک تقریباً در داخل منحنیهای مونوتونیک قرار دارند و تا کرنش 0.5% با منحنیهای پیشبینیشده همراستا هستند. 20 سیکل اعمالشده در رژیم الاستیک میلگرد تأثیر ناچیزی بر تغییر شکل عضو بدون اتصال (C0-20C) داشت، اما برای CC-20C و CS-20C، کرنشهای باقیمانده قبل از تسلیم انباشته شدند. این نشان میدهد که حضور کوپلر با سطح صاف، برخی تخریب پیوستگی را در سیکلهای الاستیک ممکن کرده است.

شکل 17: پاسخهای آزمایشی و پیشبینیشده F-ε برای اعضای مونوتونیک در هوا و در بتن که شامل میلگردهای ۱۶ میلیمتری و ۲۰ میلیمتری هستند: a) نمونههای بدون اتصال، b) با کوپلرهای آپست، c) با کوپلرهای باریک؛ اعضای چرخهای در بتن که شامل میلگردهای ۲۰ میلیمتری هستند برای عضو: d) بدون کوپلرها، e) با کوپلرهای آپست، f) با کوپلرهای باریک.
همانطور که در بخش 4.1 و بالا بحث شد، اندازه کوپلر بر سینماتیک ترکها تأثیر دارد و از آنجا که بر سختی عضو اثر میگذارد، بهویژه برای اعضای با کوپلرهای کشیده، سختی از حالت عضو بدون اتصال فاصله میگیرد. برای بررسی بیشتر این جنبه، شکل 18 پاسخهای F-ε بدنه بتنی را برای مدلهای عددی شرحدادهشده در بخش 4.1 نشان میدهد، که الگوهای ترک آنها در شکل 15 نمایش داده شده است. همانطور که در شکل 18 مشاهده میشود، با افزایش اندازه کوپلر، روند افزایشی روشنی در سختی ترکخورده وجود دارد. هم SWC-16 و هم UHC-16 با λs≈1.0 در یک محدوده قرار دارند، در حالی که GSC-16 با λs > 2.0 پاسخ سفتتری دارد. برای ثبت کاهش سختی با افزایش عامل اندازه کوپلر (λs)، پیشنهاد میشود که یک عامل کاهش سختی ترکخورده (βE) با استفاده از معادله (9) محاسبه شود و نتایج آن در شکل 19 مقایسه شود:
βE = 1 − 0.25λs (9)

شکل 18: F-ε برای مدلهای بدون اتصال ۱۶ میلیمتری و مدلهای دارای UHC، SWC و GSC.

شکل 19: رابطه بین عامل کاهش سختی βE و عامل اندازه λs.
شکل ۲۰ مقایسهای بین پاسخهای آزمایشی یا عددی F-ε اعضای بتنی و منحنیهای پیشبینیشده مربوطه با استفاده از معادلات (۵) تا (۸) برای اعضای بدون اتصال را نشان میدهد که با استفاده از βE تخمینزدهشده از معادله (۹) برای اعضای دارای کوپلرها اصلاح شدهاند. همانطور که مشاهده میشود، منحنیهای پیشبینیشده برای تمام موارد بررسیشده، چه با کوپلرهای فشرده (λs ≤1) و چه با کوپلرهای باریک (1λs >)، تطابق خوبی دارند.

شکل ۲۰. پیشبینیهای پاسخ F-ε با در نظر گرفتن عامل کاهش سختی ترکخوردگی βE.
۴.۳. شکلپذیری و اتلاف انرژی
برای اهداف مقایسهای، اتلاف انرژی تجمعی اعضای آزمایشی تحت بارگذاری چرخهای از رفتار F-ε نشاندادهشده در شکلهای ۹ و ۱۱ به صورت مساحتهای محصور شده از کل منحنی با در نظر گرفتن سطوح کرنش مشخصه کلیدی تخمین زده شده است. شکلهای ۲۱a و ۲۱b اتلاف انرژی در کرنش تسلیم εy، قبل از اولین چرخه غیرالاستیک در ×εy۲، پس از تکمیل چهار چرخه در ×εy۲، قبل از اولین چرخه غیرالاستیک در ۵×εy ، پس از تکمیل چهار چرخه در×εy ۵، در کرنش نهایی εu و در کرنش شکست εf برای اعضای در هوا را نشان میدهند. شکلهای ۲۱c و ۲۱d اتلاف انرژی برای اعضای بتنی را با در نظر گرفتن همان سطوح کرنش توصیفشده در بالا و انرژی اتلافشده قبل از اولین چرخه الاستیک نشان میدهند. شایان ذکر است که برای اعضای بتنی، انرژی اتلافشده طی ۲۰ چرخه الاستیک در مقادیر ارائهشده در کرنش تسلیم εy لحاظ شده است. در هر نمودار در شکل ۲۱، یک نمودار میلهای با انرژی اتلافشده طی چهار چرخه در ۵×εy نیز گزارش شده است.

شکل ۲۱. اتلاف انرژی برای نمونههای در هوا الف) ۱۶ میلیمتر، ب) ۲۰ میلیمتر؛ نمونههای در بتن ج) ۱۶ میلیمتر، د) ۲۰ میلیمتر.
همانطور که از شکل ۲۱ مشاهده میشود، برای همه اعضا، سطح انرژی اتلافشده در رژیم الاستیک میلگردها در محدودههای مشابهی قرار دارد. منحنیهای اتلاف انرژی پاسخهای تقریباً یکسانی را نشان میدهند، صرفنظر از وجود کوپلر، تا چرخههای غیرالاستیک×εy۲. با افزایش سطح کرنش به ۵×εy تفاوت مشخصی مشاهده میشود که میتوان آن را بر اساس هندسه کوپلر گروهبندی کرد. همانطور که در نمودارهای ترسیمشده در گوشه بالا-چپ هر نمودار در شکل ۲۱ برای تمام چرخهها در ×εy ۵ نشان داده شده است، بالاترین اتلاف انرژی در همه موارد توسط اعضای بدون اتصال ثبت شده است، سپس اعضای دارای کوپلرهای فشرده و پس از آن اعضای دارای کوپلرهای باریک. این روند برای انرژی اتلافشده در کرنش نهایی εu و در کرنش شکست εf در همه موارد حفظ شده است. شایان ذکر است که بررسی دقیق منحنیهای F-ε برای چرخههای غیرالاستیک نشان داد که هیچ اثر فشردگی در انتقال بین بارگذاری کششی-فشاری برای اعضای بتنی وجود نداشته است.
ارزیابی مقایسهای از نظر شکلپذیری با در نظر گرفتن نسبت کرنش نهایی به کرنش تسلیم εu/εy ارائهشده در جدولهای ۲ و ۳ انجام شده است، که در آن εu به حداکثر مقاومت مربوط میشود. نسبتهای نشاندادهشده در شکل ۲۲ کاهش مداومی بین نمونههای در بتن و در هوا برای آزمایشهای مونوتونیک و چرخهای نشان میدهند. برای آزمایشهای مونوتونیک، نسبتهای کاهش بین شکلپذیری در بتن به در هوا ۱۲.۵٪ برای اعضای بدون اتصال، ۱۷٪ برای اعضای دارای کوپلرهای فشرده و ۲۴٪ برای اعضای دارای کوپلرهای باریک است. برای آزمایشهای چرخهای، کاهش نسبتهای شکلپذیری در هوا به در بتن ۲۰٪ برای اعضای بدون اتصال، ۱۸٪ برای اعضای دارای کوپلرهای فشرده و ۱۲.۳٪ برای اعضای دارای کوپلرهای باریک است. همچنین روند کاهشی در نسبتهای کاهش شکلپذیری با توجه به نوع عضو مشاهده میشود. این کاهشها بین ۲۴ تا ۲۸٪ برای آزمایشهای در بتن و ۱۸ تا ۳۱٪ برای آزمایشهای در هوا از پیکربندی مرجع بدون اتصال، بسته به نوع کوپلر و بارگذاری، متغیر است.

شکل ۲۲. مقایسههای شکلپذیری برای: الف) آزمایشهای مونوتونیک، ب) آزمایشهای چرخهای.
برای کاربرد اتصالات مکانیکی در مناطق اتلافکننده انرژی طبق یوروکد ۸ [۲۷]، رفتار باید با آزمایش تحت شرایط سازگار با کلاس شکلپذیری انتخابشده (یعنی شکلپذیری متوسط: DCM یا شکلپذیری بالا: DCH) که مستقیماً با کلاسهای شکلپذیری مواد تعیینشده در یوروکد ۲ [۶۱] مرتبط است، تأیید شود. برای DCM، کلاسهای میلگرد B و C در مناطق اتلافکننده مجاز هستند، در حالی که برای DCH تنها میلگرد کلاس C در مناطق اتلافکننده مجاز است. اگرچه سطح کرنش نهایی در برخی موارد برای اتصالات کوپلشده در مقایسه با نمونههای بدون اتصال کاهش یافت، نتایج آزمایش نشان میدهد که معیار حداقل برای میلگرد کلاس C (یعنی۷.۵٪ εu > ) در یوروکد ۲ به طور کلی برآورده شده است. بر این اساس، اکثر این میلگردهای کوپلشده الزامات کرنش برای میلگرد در طراحی لرزهای طبق یوروکد ۸ برای DCH را برآورده میکنند.
۵. نکات پایانی
این مقاله یک برنامه آزمایشی انجامشده روی اتصالات مکانیکی در هوا و در بتن را توصیف کرد که شامل دو نوع کوپلر رزوهدار تحت بارگذاری تکمحوری مونوتونیک و چرخهای بود. مطالعات عددی تکمیلی با استفاده از روشهای المان محدود غیرخطی انجام شد و اعتبارسنجی در برابر اعضای بتنی آزمایششده، امکان انجام تحقیقات پارامتری تکمیلی را فراهم کرد. آزمایشها نشان داد که هر دو نوع کوپلر در آزمایش چرخهای الاستیک کرنشهای کمی بالاتر از میلگرد مرجع بدون اتصال داشتند، بدون لغزش قابلتوجه در رزوهها. همچنین مشخص شد که اتصالات باریک شکلپذیری کمتری نسبت به اتصالات با کوپلرهای فشرده و نمونههای بدون اتصال دارند، با کاهشهایی تا ۳۵٪. با این حال، هر دو نوع کوپلر کرنشهای نهایی در حدود یا بالاتر از ۷.۵٪ ایجاد کردند، که نشان میدهد به طور کلی با الزامات میلگردهای با شکلپذیری بالا طبق استانداردهای اروپایی مطابقت دارند.
بارگذاری چرخهای نیز اثر زیانآوری بر پاسخ در هوا داشت، با کاهشهایی تا ۲۵٪ در کرنش در نقطه شکست در مقایسه با موارد مونوتونیک، در حالی که هیچ اثر فشردگی در انتقال بارگذاری کششی-فشاری برای اعضای بتنی مشاهده نشد. اندازهگیریهای دقیق کرنش نشان داد که سطح مقطع بزرگتر میلگرد در نزدیکی رزوههای کوپلرهای فشرده، منطقه ضعیف را از ناحیه کوپلر دور میکند، در حالی که برای کوپلرهای باریک، مقداری تمرکز کرنش در رزوهها قبل از تسلیم میلگرد و در رابط کوپلر به میلگرد رخ میدهد. برای رفتار در هوا و در بتن، نسبتهای بین طول کوپلر به میلگرد بر پاسخ تأثیر میگذارد، به طوری که کوپلرهای بلندتر باعث کرنش سریعتر میلگرد و شکست زودتر میشوند. تحلیل عرض ترکهای آزمایشی نشان داد که مقادیر زیر ۰.۱ میلیمتر برای آزمایشهای مونوتونیک و تا ۰.۳۵ میلیمتر برای آزمایشهای چرخهای در محدوده الاستیک میلگرد است، که نشان میدهد چرخههای الاستیک مقداری تخریب در رابط بتن-میلگرد ایجاد کردهاند. مشخص شد که وجود کوپلر تأثیر ناچیز یا بدون تأثیری بر فاصله ترکها تا تسلیم میلگرد دارد. همچنین، کوپلرهای فشرده با عوامل اندازه زیر و در حدود ۱.۰ تمایل به ایجاد فاصلههای ترک باریکتر در ناحیه میلگرد دارند که توزیع تنش یکنواختتری را در طول میلگرد ایجاد میکند.
نتایج عددی نشان داد که برای اتصالات در بتن، تنشهای کمتری در حدود ۰.۵×fy در کوپلر به دست میآید، در حالی که برای پیکربندیهای بدون اتصال، تنشهای میلگرد تقریباً در طول آنها یکنواخت است. مهمتر از آن، منحنیهای لغزش بتن-میلگرد توزیعها و مقادیر لغزش متفاوتی را به عنوان تابعی از طول کوپلر نشان میدهند، که نشاندهنده لغزش بیشتر با افزایش طول کوپلر است، عمدتاً به دلیل سطح منظم در مقایسه با سطح تغییرشکلیافته میلگرد. مشاهدات کلیدی نشان داد که افزایش اندازه کوپلر سختی ترکخورده عضو را کاهش میدهد. این جنبه ممکن است از طریق یک عامل کاهش سختی، به عنوان تابعی از عامل اندازه کوپلر پیشنهادی، ثبت شود که میتواند در مدلهای موجود برای ارزیابی مؤثر پاسخ بار-کرنش اتصالات مکانیکی تعبیهشده استفاده شود.




دیدگاه ها (0)